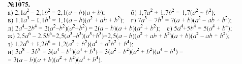
Главная / Готовые домашние задания (ГДЗ) / 7 класс / Алгебра / Макарычев, Миндюк / Дополнительные упражнения к §14 Задание: 1075
Ответ на Дополнительные упражнения к §14 Задание: 1075
Готовые домашние задания (ГДЗ) Алгебра Макарычев, Миндюк 7 класс

Алгебра
7 класс
Автор: Макарычев, Миндюк
Изд.: Просвещение
Год: 2003
<< Предыдущее Вернуться к списку Следующее >> |
