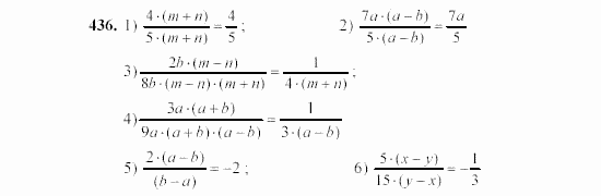
Главная / Готовые домашние задания (ГДЗ) / 7 класс / Алгебра / Ш.А. Алимов / Глава 5, §24 Задание: 436


Ответ на Глава 5, §24 Задание: 436
Готовые домашние задания (ГДЗ) Алгебра Ш.А. Алимов 7 класс

Алгебра, Ш.А. Алимов, 2002 - 2009

Алгебра

7 класс

Автор: Ш.А. Алимов

Изд.: Просвещение

Год: 2002 - 2009

<< Предыдущее Вернуться к списку Следующее >>
Алгебра, 7 класс, Ш.А. Алимов, 2002 - 2009, Глава 5, §24 Задание: 436