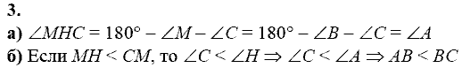
Главная / Готовые домашние задания (ГДЗ) / 7 класс / Геометрия / Зив Б.Г., Мейлер В.М. / К-4, В-4 Задание: 3


Ответ на К-4, В-4 Задание: 3
Готовые домашние задания (ГДЗ) Геометрия Зив Б.Г., Мейлер В.М. 7 класс

Дидактические материалы, Зив Б.Г., Мейлер В.М., 2014 - 2015

Геометрия

7 класс

Дидактические материалы

Автор: Зив Б.Г., Мейлер В.М.

Изд.: Просвещение

Год: 2014 - 2015

<< Предыдущее Вернуться к списку Следующее >>
Дидактические материалы, 7 класс, Зив Б.Г., Мейлер В.М., 2014 - 2015, К-4, В-4 Задание: 3