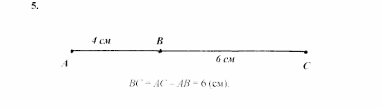
Главная / Готовые домашние задания (ГДЗ) / 7 класс / Геометрия / Зив, Мейлер / Математические диктанты, МД-1, B-1 Задача: 5


Ответ на Математические диктанты, МД-1, B-1 Задача: 5
Готовые домашние задания (ГДЗ) Геометрия Зив, Мейлер 7 класс

Дидактические материалы, Зив, Мейлер, 2003 - 2010

Геометрия

7 класс

Дидактические материалы

Автор: Зив, Мейлер

Изд.: Просвещение

Год: 2003 - 2010

<< Предыдущее Вернуться к списку Следующее >>
Дидактические материалы, 7 класс, Зив, Мейлер, 2003 - 2010, Математические диктанты, МД-1, B-1 Задача: 5