Главная / Готовые домашние задания (ГДЗ) / 7 класс / Геометрия / Гусев, Медяник / Контрольные работы, К-4, Вариант 3, Задание: 2


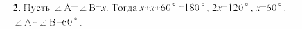
Ответ на Контрольные работы, К-4, Вариант 3, Задание: 2
Готовые домашние задания (ГДЗ) Геометрия Гусев, Медяник 7 класс

Дидактические материалы, Гусев, Медяник, 2001

Геометрия

7 класс

Дидактические материалы

Автор: Гусев, Медяник

Изд.: Просвещение

Год: 2001

<< Предыдущее Вернуться к списку Следующее >>
Дидактические материалы, 7 класс, Гусев, Медяник, 2001, Контрольные работы, К-4, Вариант 3, Задание: 2