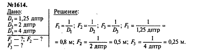
Главная / Готовые домашние задания (ГДЗ) / 7 класс / Физика / Лукашик, Иванова / задача: 1614


Ответ на задача: 1614
Готовые домашние задания (ГДЗ) Физика Лукашик, Иванова 7 класс

Сборник задач, Лукашик, Иванова, 2001-2011

Физика

7 класс

Сборник задач

Автор: Лукашик, Иванова

Изд.: Просвещение

Год: 2001-2011

<< Предыдущее Вернуться к списку Следующее >>
Сборник задач, 7 класс, Лукашик, Иванова, 2001-2011, задача: 1614