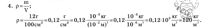
Главная / Готовые домашние задания (ГДЗ) / 7 класс / Физика / Перышкин / Упражнение_7 Задача: 4


Ответ на Упражнение_7 Задача: 4
Готовые домашние задания (ГДЗ) Физика Перышкин 7 класс

Физика, Перышкин, 2010-2015

Физика

7 класс

Автор: Перышкин

Изд.: Дрофа

Год: 2010-2015

<< Предыдущее Вернуться к списку Следующее >>
Физика, 7 класс, Перышкин, 2010-2015, Упражнение_7 Задача: 4