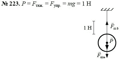
Главная / Готовые домашние задания (ГДЗ) / 7 класс / Физика / А.В. Перышкин / задание: 223


Ответ на задание: 223
Готовые домашние задания (ГДЗ) Физика А.В. Перышкин 7 класс

Сборник задач по физике, А.В. Перышкин, 2010

Физика

7 класс

Сборник задач по физике

Автор: А.В. Перышкин

Изд.: АСТ-Астрель; Владимир-ВКТ

Год: 2010

<< Предыдущее Вернуться к списку Следующее >>
Сборник задач по физике, 7 класс, А.В. Перышкин, 2010, задание: 223