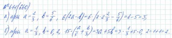
Главная / Готовые домашние задания (ГДЗ) / 7 класс / Алгебра / Макарычев, Миндюк / задание: 611 (660)


Ответ на задание: 611 (660)
Готовые домашние задания (ГДЗ) Алгебра Макарычев, Миндюк 7 класс

Алгебра, Макарычев, Миндюк, 2015 / 2013 / 2009 / 2005

Алгебра

7 класс

Автор: Макарычев, Миндюк

Изд.: Просвещение

Год: 2015 / 2013 / 2009 / 2005

<< Предыдущее Вернуться к списку Следующее >>
Алгебра, 7 класс, Макарычев, Миндюк, 2015 / 2013 / 2009 / 2005, задание: 611 (660)