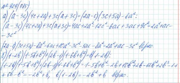
Главная / Готовые домашние задания (ГДЗ) / 7 класс / Алгебра / Макарычев, Миндюк / задание: 929 (985)
Ответ на задание: 929 (985)
Готовые домашние задания (ГДЗ) Алгебра Макарычев, Миндюк 7 класс

Алгебра
7 класс
Автор: Макарычев, Миндюк
Изд.: Просвещение
Год: 2015 / 2013 / 2009 / 2005
<< Предыдущее Вернуться к списку Следующее >> |
