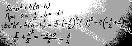
Главная / Готовые домашние задания (ГДЗ) / 7 класс / Алгебра / Мордкович А.Г. / Вариант 3 Задание: 2
Ответ на Вариант 3 Задание: 2
Готовые домашние задания (ГДЗ) Алгебра Мордкович А.Г. 7 класс
Алгебра
7 класс
Контрольные работы
Автор: Мордкович А.Г.
Изд.: Мнемозина
Год: 2013
| << Предыдущее Вернуться к списку Следующее >> |