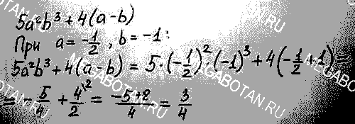
Главная / Готовые домашние задания (ГДЗ) / 7 класс / Алгебра / Мордкович А.Г. / Вариант 3 Задание: 2


Ответ на Вариант 3 Задание: 2
Готовые домашние задания (ГДЗ) Алгебра Мордкович А.Г. 7 класс

Контрольные работы, Мордкович А.Г., 2013

Алгебра

7 класс

Контрольные работы

Автор: Мордкович А.Г.

Изд.: Мнемозина

Год: 2013

<< Предыдущее Вернуться к списку Следующее >>
Контрольные работы, 7 класс, Мордкович А.Г., 2013, Вариант 3 Задание: 2