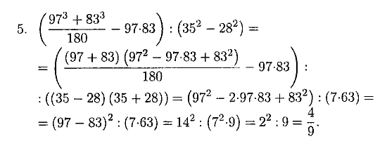
Главная / Готовые домашние задания (ГДЗ) / 7 класс / Алгебра / Зив Б.Г., Гольдич В.А. / 13. Формулы a3 – b3 (a ± b)3, вариант 7, Задание 5


Ответ на 13. Формулы a3 – b3 (a ± b)3, вариант 7, Задание 5
Готовые домашние задания (ГДЗ) Алгебра Зив Б.Г., Гольдич В.А. 7 класс

Дидактические материалы, Зив Б.Г., Гольдич В.А., 2010

Алгебра

7 класс

Дидактические материалы

Автор: Зив Б.Г., Гольдич В.А.

Изд.: Петроглиф

Год: 2010

<< Предыдущее Вернуться к списку 
Дидактические материалы, 7 класс, Зив Б.Г., Гольдич В.А., 2010, 13. Формулы a3 – b3 (a ± b)3, вариант 7, Задание 5