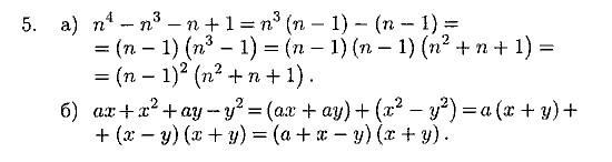
Главная / Готовые домашние задания (ГДЗ) / 7 класс / Алгебра / Зив Б.Г., Гольдич В.А. / 13. Формулы a3 – b3 (a ± b)3 , вариант 1 Задание: 5
Ответ на 13. Формулы a3 – b3 (a ± b)3 , вариант 1 Задание: 5
Готовые домашние задания (ГДЗ) Алгебра Зив Б.Г., Гольдич В.А. 7 класс

Алгебра
7 класс
Дидактические материалы
Автор: Зив Б.Г., Гольдич В.А.
Изд.: Петроглиф
Год: 2010
<< Предыдущее Вернуться к списку Следующее >> |
