Главная / Готовые домашние задания (ГДЗ) / 7 класс / Алгебра / Зив Б.Г., Гольдич В.А. / 9. Сложение и вычитание многочленов, вариант 3, Задание: 3
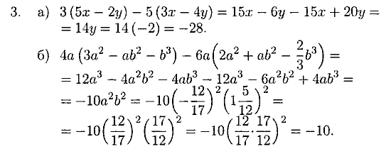
Ответ на 9. Сложение и вычитание многочленов, вариант 3, Задание: 3
Готовые домашние задания (ГДЗ) Алгебра Зив Б.Г., Гольдич В.А. 7 класс

Алгебра
7 класс
Дидактические материалы
Автор: Зив Б.Г., Гольдич В.А.
Изд.: Петроглиф
Год: 2010
<< Предыдущее Вернуться к списку Следующее >> |
