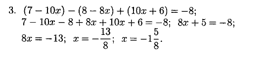
Главная / Готовые домашние задания (ГДЗ) / 7 класс / Алгебра / Зив Б.Г., Гольдич В.А. / 2. Свойства арифметических действий, правила раскрытия скобок, вариант 7, Задание: 3


Ответ на 2. Свойства арифметических действий, правила раскрытия скобок, вариант 7, Задание: 3
Готовые домашние задания (ГДЗ) Алгебра Зив Б.Г., Гольдич В.А. 7 класс

Дидактические материалы, Зив Б.Г., Гольдич В.А., 2010

Алгебра

7 класс

Дидактические материалы

Автор: Зив Б.Г., Гольдич В.А.

Изд.: Петроглиф

Год: 2010

<< Предыдущее Вернуться к списку Следующее >>
Дидактические материалы, 7 класс, Зив Б.Г., Гольдич В.А., 2010, 2. Свойства арифметических действий, правила раскрытия скобок, вариант 7, Задание: 3