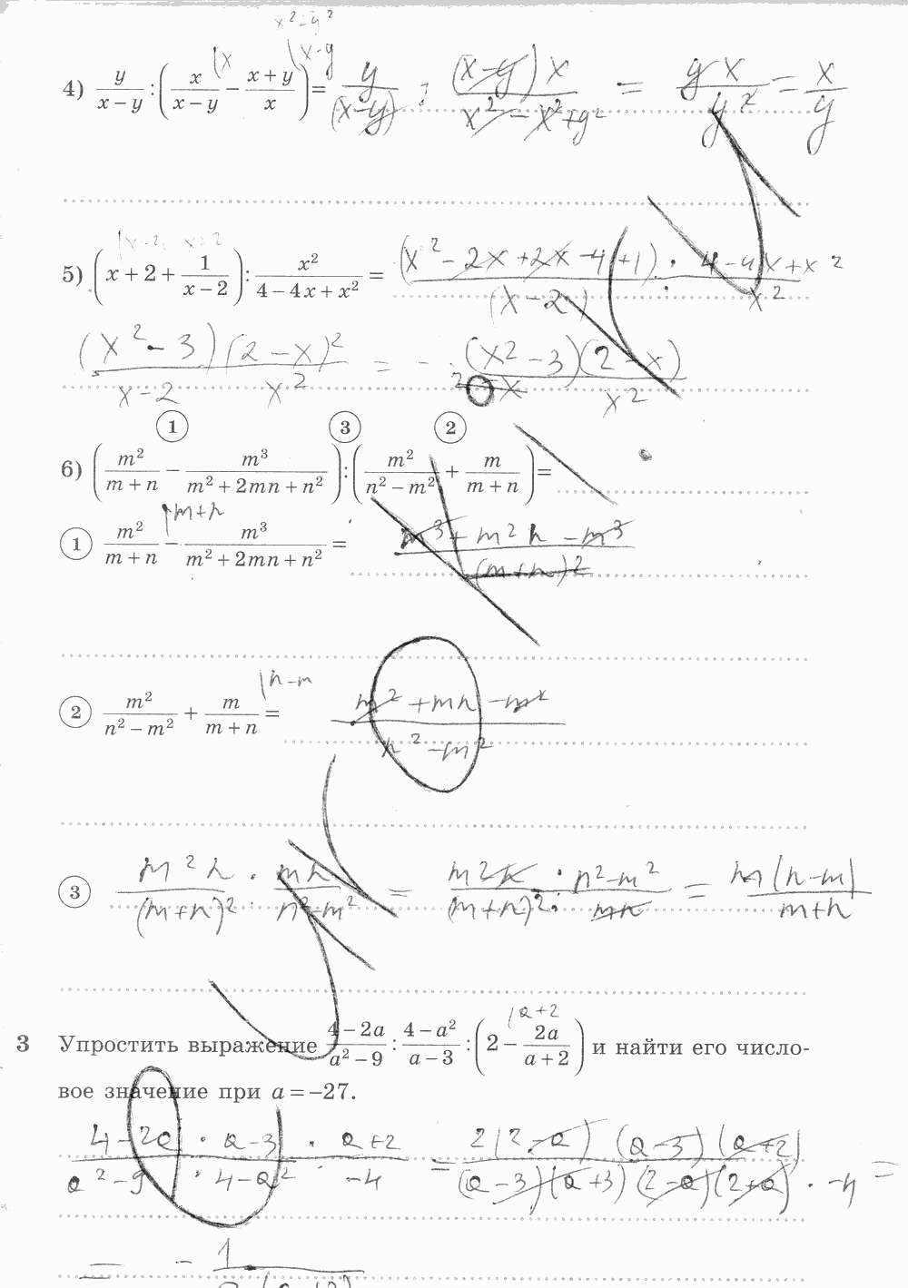
Главная / Готовые домашние задания (ГДЗ) / 7 класс / Алгебра / Ш.А. Алимов, Ю.М. Колягин М.В. Ткачева / задание: стр. 25


Ответ на задание: стр. 25
Готовые домашние задания (ГДЗ) Алгебра Ш.А. Алимов, Ю.М. Колягин М.В. Ткачева 7 класс

Рабочая тетрадь. Часть 2, Ш.А. Алимов, Ю.М. Колягин М.В. Ткачева, 2015

Алгебра

7 класс

Рабочая тетрадь. Часть 2

Автор: Ш.А. Алимов, Ю.М. Колягин М.В. Ткачева

Изд.: Просвещение

Год: 2015

<< Предыдущее Вернуться к списку Следующее >>
Рабочая тетрадь. Часть 2, 7 класс, Ш.А. Алимов, Ю.М. Колягин М.В. Ткачева, 2015, задание: стр. 25