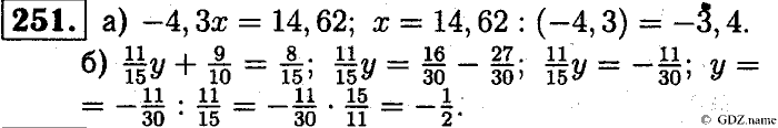
Главная / Готовые домашние задания (ГДЗ) / 6 класс / Математика / Чесноков, Нешков / Самостоятельные работы — Вариант 2 Задание: 251
Ответ на Самостоятельные работы — Вариант 2 Задание: 251
Готовые домашние задания (ГДЗ) Математика Чесноков, Нешков 6 класс

Математика
6 класс
Автор: Чесноков, Нешков
Изд.: Мнемозина
Год: 2014
<< Предыдущее Вернуться к списку Следующее >> |
