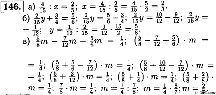
Главная / Готовые домашние задания (ГДЗ) / 6 класс / Математика / Чесноков, Нешков / Самостоятельные работы — Вариант 1 Задание: 146


Ответ на Самостоятельные работы — Вариант 1 Задание: 146
Готовые домашние задания (ГДЗ) Математика Чесноков, Нешков 6 класс

Математика, Чесноков, Нешков, 2014

Математика

6 класс

Автор: Чесноков, Нешков

Изд.: Мнемозина

Год: 2014

<< Предыдущее Вернуться к списку Следующее >>
Математика, 6 класс, Чесноков, Нешков, 2014, Самостоятельные работы — Вариант 1 Задание: 146