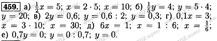
Главная / Готовые домашние задания (ГДЗ) / 6 класс / Математика / Бунимович, Кузнецова, Минаева / Учебник Задание: 459


Ответ на Учебник Задание: 459
Готовые домашние задания (ГДЗ) Математика Бунимович, Кузнецова, Минаева 6 класс

Математика, Бунимович, Кузнецова, Минаева, 2011-2013

Математика

6 класс

Автор: Бунимович, Кузнецова, Минаева

Изд.: Просвещение

Год: 2011-2013

<< Предыдущее Вернуться к списку Следующее >>
Математика, 6 класс, Бунимович, Кузнецова, Минаева, 2011-2013, Учебник Задание: 459