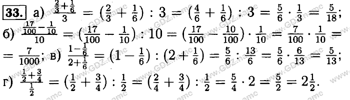
Главная / Готовые домашние задания (ГДЗ) / 6 класс / Математика / Бунимович, Кузнецова, Минаева / Учебник Задание: 33
Ответ на Учебник Задание: 33
Готовые домашние задания (ГДЗ) Математика Бунимович, Кузнецова, Минаева 6 класс

Математика
6 класс
Автор: Бунимович, Кузнецова, Минаева
Изд.: Просвещение
Год: 2011-2013
<< Предыдущее Вернуться к списку Следующее >> |
