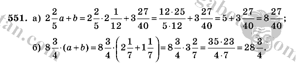
Главная / Готовые домашние задания (ГДЗ) / 6 класс / Математика / Виленкин, Жохов / задание: 551


Ответ на задание: 551
Готовые домашние задания (ГДЗ) Математика Виленкин, Жохов 6 класс

Математика, Виленкин, Жохов, 2004 - 2010

Математика

6 класс

Автор: Виленкин, Жохов

Изд.: Мнемозина

Год: 2004 - 2010

<< Предыдущее Вернуться к списку Следующее >>
Математика, 6 класс, Виленкин, Жохов, 2004 - 2010, задание: 551