Главная / Готовые домашние задания (ГДЗ) / 6 класс / Математика / Виленкин, Жохов / задание: 1222
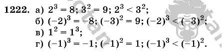
Ответ на задание: 1222
Готовые домашние задания (ГДЗ) Математика Виленкин, Жохов 6 класс

Математика
6 класс
Автор: Виленкин, Жохов
Изд.: Мнемозина
Год: 2004 - 2010
<< Предыдущее Вернуться к списку Следующее >> |
