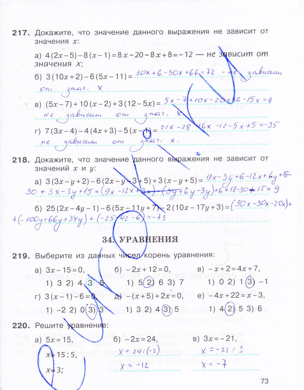
Главная / Готовые домашние задания (ГДЗ) / 6 класс / Математика / С.М.Никольского, Потапов М. К., Шевкин А. В. / задание: стр. 73


Ответ на задание: стр. 73
Готовые домашние задания (ГДЗ) Математика С.М.Никольского, Потапов М. К., Шевкин А. В. 6 класс

Рабочая тетрадь, С.М.Никольского, Потапов М. К., Шевкин А. В., 2015

Математика

6 класс

Рабочая тетрадь

Автор: С.М.Никольского, Потапов М. К., Шевкин А. В.

Изд.: Просвещение

Год: 2015

<< Предыдущее Вернуться к списку Следующее >>
Рабочая тетрадь, 6 класс, С.М.Никольского, Потапов М. К., Шевкин А. В., 2015, задание: стр. 73