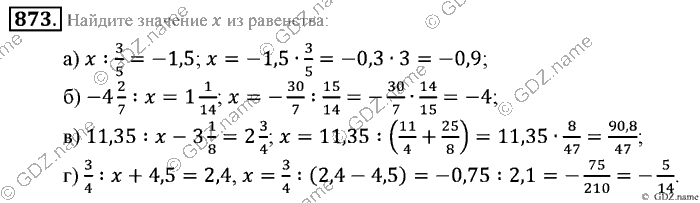
Главная / Готовые домашние задания (ГДЗ) / 6 класс / Математика / Зубарева, Мордкович / §29. Признаки делимости на 3 и 9 Задание: 873
Ответ на §29. Признаки делимости на 3 и 9 Задание: 873
Готовые домашние задания (ГДЗ) Математика Зубарева, Мордкович 6 класс

Математика
6 класс
Автор: Зубарева, Мордкович
Изд.: Мнемозина
Год: 2005-2012
<< Предыдущее Вернуться к списку Следующее >> |
