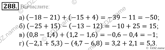
Главная / Готовые домашние задания (ГДЗ) / 6 класс / Математика / Зубарева, Мордкович / §9. Расстояние между точками координатной прямой Задание: 288


Ответ на §9. Расстояние между точками координатной прямой Задание: 288
Готовые домашние задания (ГДЗ) Математика Зубарева, Мордкович 6 класс

Математика, Зубарева, Мордкович, 2005-2012

Математика

6 класс

Автор: Зубарева, Мордкович

Изд.: Мнемозина

Год: 2005-2012

<< Предыдущее Вернуться к списку Следующее >>
Математика, 6 класс, Зубарева, Мордкович, 2005-2012, §9. Расстояние между точками координатной прямой Задание: 288