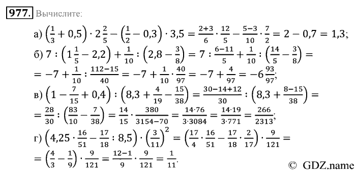
Главная / Готовые домашние задания (ГДЗ) / 6 класс / Математика / Зубарева, Мордкович / §32. Взаимно простые числа. Признак делимости на произведение. Наименьшее общее кратное Задание: 977


Ответ на §32. Взаимно простые числа. Признак делимости на произведение. Наименьшее общее кратное Задание: 977
Готовые домашние задания (ГДЗ) Математика Зубарева, Мордкович 6 класс

Математика, Зубарева, Мордкович, 2005-2012

Математика

6 класс

Автор: Зубарева, Мордкович

Изд.: Мнемозина

Год: 2005-2012

<< Предыдущее Вернуться к списку Следующее >>
Математика, 6 класс, Зубарева, Мордкович, 2005-2012, §32. Взаимно простые числа. Признак делимости на произведение. Наименьшее общее кратное Задание: 977