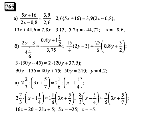
Главная / Готовые домашние задания (ГДЗ) / 6 класс / Математика / Дорофеев, Петерсон / задача: 765
Ответ на задача: 765
Готовые домашние задания (ГДЗ) Математика Дорофеев, Петерсон 6 класс

Математика
6 класс
Часть 3
Автор: Дорофеев, Петерсон
Изд.: Ювента
Год: 2010
<< Предыдущее Вернуться к списку Следующее >> |
