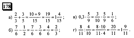
Главная / Готовые домашние задания (ГДЗ) / 6 класс / Математика / Дорофеев, Петерсон / задание: 178


Ответ на задание: 178
Готовые домашние задания (ГДЗ) Математика Дорофеев, Петерсон 6 класс

Часть 1, Дорофеев, Петерсон, 2010

Математика

6 класс

Часть 1

Автор: Дорофеев, Петерсон

Изд.: Ювента

Год: 2010

<< Предыдущее Вернуться к списку Следующее >>
Часть 1, 6 класс, Дорофеев, Петерсон, 2010, задание: 178