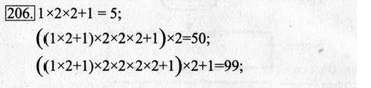
Главная / Готовые домашние задания (ГДЗ) / 6 класс / Информатика / Босова / §17. «Типы алгоритмов» (задания 185 - 207). Задание 206


Ответ на §17. «Типы алгоритмов» (задания 185 - 207). Задание 206
Готовые домашние задания (ГДЗ) Информатика Босова 6 класс

Рабочая тетрадь, Босова, 2015

Информатика

6 класс

Рабочая тетрадь

Автор: Босова

Изд.: ФГОС

Год: 2015

<< Предыдущее Вернуться к списку Следующее >>
Рабочая тетрадь, 6 класс, Босова, 2015, §17. «Типы алгоритмов» (задания 185 - 207). Задание 206