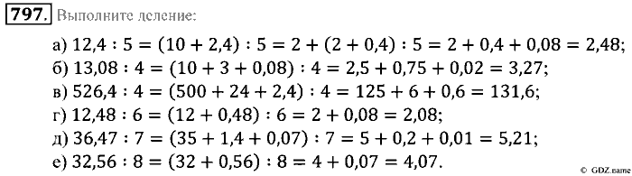
Главная / Готовые домашние задания (ГДЗ) / 5 класс / Математика / Зубарева, Мордкович / §45. Среднее арифметическое. Деление десятичной дроби на натуральное число Задание: 797


Ответ на §45. Среднее арифметическое. Деление десятичной дроби на натуральное число Задание: 797
Готовые домашние задания (ГДЗ) Математика Зубарева, Мордкович 5 класс

Математика, Зубарева, Мордкович, 2013

Математика

5 класс

Автор: Зубарева, Мордкович

Изд.: Мнемозина

Год: 2013

<< Предыдущее Вернуться к списку Следующее >>
Математика, 5 класс, Зубарева, Мордкович, 2013, §45. Среднее арифметическое. Деление десятичной дроби на натуральное число Задание: 797