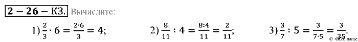
Главная / Готовые домашние задания (ГДЗ) / 5 класс / Математика / Зубарева, Мордкович / §26. Умножение и деление обыкновенной дроби на натуральное число Задание: Контрольные задания


Ответ на §26. Умножение и деление обыкновенной дроби на натуральное число Задание: Контрольные задания
Готовые домашние задания (ГДЗ) Математика Зубарева, Мордкович 5 класс

Математика, Зубарева, Мордкович, 2013

Математика

5 класс

Автор: Зубарева, Мордкович

Изд.: Мнемозина

Год: 2013

<< Предыдущее Вернуться к списку Следующее >>
Математика, 5 класс, Зубарева, Мордкович, 2013, §26. Умножение и деление обыкновенной дроби на натуральное число Задание: Контрольные задания