Главная / Готовые домашние задания (ГДЗ) / 5 класс / Математика / Ершова, Голобородько / Контрольные работы Задание: 9 В2


Ответ на Контрольные работы Задание: 9 В2
Готовые домашние задания (ГДЗ) Математика Ершова, Голобородько 5 класс

Математика, Ершова, Голобородько, 2011-2013

Математика

5 класс

Автор: Ершова, Голобородько

Изд.: Илекса

Год: 2011-2013

<< Предыдущее Вернуться к списку Следующее >>
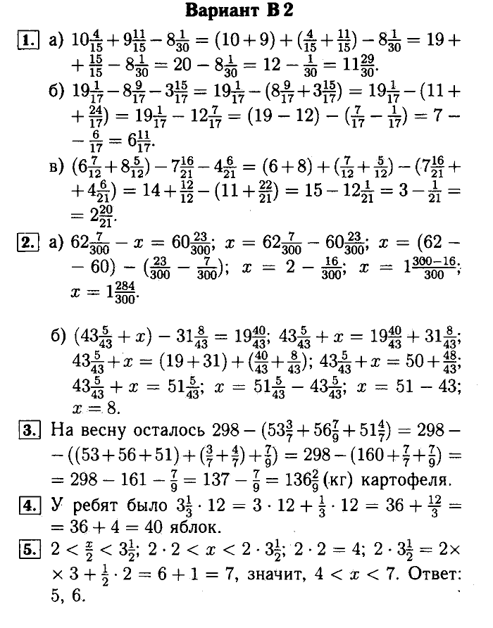
Математика, 5 класс, Ершова, Голобородько, 2011-2013, Контрольные работы Задание: 9 В2