Главная / Готовые домашние задания (ГДЗ) / 5 класс / Математика / Чесноков, Нешков / Контрольные работы Виленкин, К-10, Вариант 4, Задание: 4


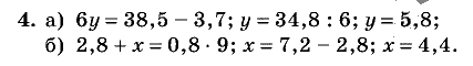
Ответ на Контрольные работы Виленкин, К-10, Вариант 4, Задание: 4
Готовые домашние задания (ГДЗ) Математика Чесноков, Нешков 5 класс

Дидактические материалы, Чесноков, Нешков, 2009

Математика

5 класс

Дидактические материалы

Автор: Чесноков, Нешков

Изд.: Классикс Стиль

Год: 2009

<< Предыдущее Вернуться к списку Следующее >>
Дидактические материалы, 5 класс, Чесноков, Нешков, 2009, Контрольные работы Виленкин, К-10, Вариант 4, Задание: 4