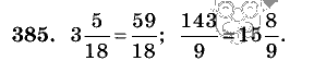
Главная / Готовые домашние задания (ГДЗ) / 5 класс / Математика / Чесноков, Нешков / Самостоятельные работы, Вариант 1 Задание: 385


Ответ на Самостоятельные работы, Вариант 1 Задание: 385
Готовые домашние задания (ГДЗ) Математика Чесноков, Нешков 5 класс

Дидактические материалы, Чесноков, Нешков, 2009

Математика

5 класс

Дидактические материалы

Автор: Чесноков, Нешков

Изд.: Классикс Стиль

Год: 2009

<< Предыдущее Вернуться к списку Следующее >>
Дидактические материалы, 5 класс, Чесноков, Нешков, 2009, Самостоятельные работы, Вариант 1 Задание: 385