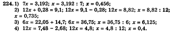
Главная / Готовые домашние задания (ГДЗ) / 5 класс / Математика / А.Г. Мерзляк, В.Б. Полонский, Е.М. Рабинович, М.С. Якир / Вариант 4 Задание: 224


Ответ на Вариант 4 Задание: 224
Готовые домашние задания (ГДЗ) Математика А.Г. Мерзляк, В.Б. Полонский, Е.М. Рабинович, М.С. Якир 5 класс

Сборник задач и заданий для тематического оценивания (для русских школ), А.Г. Мерзляк, В.Б. Полонский, Е.М. Рабинович, М.С. Якир, 2013 - 2015

Математика

5 класс

Сборник задач и заданий для тематического оценивания (для русских школ)

Автор: А.Г. Мерзляк, В.Б. Полонский, Е.М. Рабинович, М.С. Якир

Изд.: Вентана

Год: 2013 - 2015

<< Предыдущее Вернуться к списку Следующее >>
Сборник задач и заданий для тематического оценивания (для русских школ), 5 класс, А.Г. Мерзляк, В.Б. Полонский, Е.М. Рабинович, М.С. Якир, 2013 - 2015, Вариант 4 Задание: 224