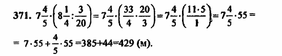
Главная / Готовые домашние задания (ГДЗ) / 5 класс / Математика / Дорофеев, Петерсон / Глава 3. Дроби Задание: 371


Ответ на Глава 3. Дроби Задание: 371
Готовые домашние задания (ГДЗ) Математика Дорофеев, Петерсон 5 класс

В двух частях, Дорофеев, Петерсон, 2008

Математика

5 класс

В двух частях

Автор: Дорофеев, Петерсон

Изд.: Ювента

Год: 2008

<< Предыдущее Вернуться к списку Следующее >>
В двух частях, 5 класс, Дорофеев, Петерсон, 2008, Глава 3. Дроби Задание: 371