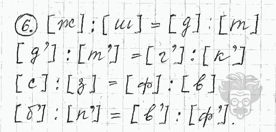
Главная / Готовые домашние задания (ГДЗ) / 5 класс / Русский язык / Львова С.И., Львов В.В / задача: 6


Ответ на задача: 6
Готовые домашние задания (ГДЗ) Русский язык Львова С.И., Львов В.В 5 класс

Русский язык, Львова С.И., Львов В.В, 2012 - 2013 -2015

Русский язык

5 класс

Автор: Львова С.И., Львов В.В

Изд.: Мнемозина

Год: 2012 - 2013 -2015

<< Предыдущее Вернуться к списку Следующее >>
Русский язык, 5 класс, Львова С.И., Львов В.В, 2012 - 2013 -2015, задача: 6