Главная / Готовые домашние задания (ГДЗ) / 5 класс / Русский язык / Ладыженская / задание: 285


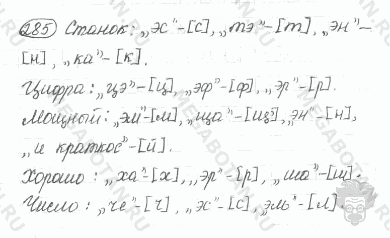
Ответ на задание: 285
Готовые домашние задания (ГДЗ) Русский язык Ладыженская 5 класс

Старое издание, Ладыженская, 2000

Русский язык

5 класс

Старое издание

Автор: Ладыженская

Изд.: Просвещение

Год: 2000

<< Предыдущее Вернуться к списку Следующее >>
Старое издание, 5 класс, Ладыженская, 2000, задание: 285