Главная / Готовые домашние задания (ГДЗ) / 5 класс / Русский язык / Т.А. Ладыженская, М.Т. Баранов / задание: 280


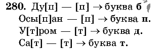
Ответ на задание: 280
Готовые домашние задания (ГДЗ) Русский язык Т.А. Ладыженская, М.Т. Баранов 5 класс

Русский язык, Т.А. Ладыженская, М.Т. Баранов, 2008 - 2015

Русский язык

5 класс

Автор: Т.А. Ладыженская, М.Т. Баранов

Изд.: Просвещение

Год: 2008 - 2015

<< Предыдущее Вернуться к списку Следующее >>
Русский язык, 5 класс, Т.А. Ладыженская, М.Т. Баранов, 2008 - 2015, задание: 280