Главная / Готовые домашние задания (ГДЗ) / 4 класс / Математика / Козлова / Задания по отработке вычислительных умений, Часть 1, Уроки 8-21, Задание: 10


Ответ на Задания по отработке вычислительных умений, Часть 1, Уроки 8-21, Задание: 10
Готовые домашние задания (ГДЗ) Математика Козлова 4 класс

Дидактический материал, Козлова, 2015

Математика

4 класс

Дидактический материал

Автор: Козлова

Изд.: БАЛАСС

Год: 2015

<< Предыдущее Вернуться к списку Следующее >>
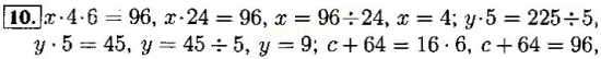
Дидактический материал, 4 класс, Козлова, 2015, Задания по отработке вычислительных умений, Часть 1, Уроки 8-21, Задание: 10