Главная / Готовые домашние задания (ГДЗ) / 4 класс / Математика / Козлова / Часть 3, Уроки 84-89, Задание: 14


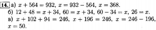
Ответ на Часть 3, Уроки 84-89, Задание: 14
Готовые домашние задания (ГДЗ) Математика Козлова 4 класс

Дидактический материал, Козлова, 2015

Математика

4 класс

Дидактический материал

Автор: Козлова

Изд.: БАЛАСС

Год: 2015

<< Предыдущее Вернуться к списку Следующее >>
Дидактический материал, 4 класс, Козлова, 2015, Часть 3, Уроки 84-89, Задание: 14