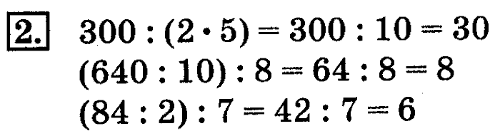
Главная / Готовые домашние задания (ГДЗ) / 4 класс / Математика / Дорофеев, Миракова / стр. 72. Деление числа на произведение Задача: 2


Ответ на стр. 72. Деление числа на произведение Задача: 2
Готовые домашние задания (ГДЗ) Математика Дорофеев, Миракова 4 класс

учебник: часть 1, часть 2, Дорофеев, Миракова, 2014

Математика

4 класс

учебник: часть 1, часть 2

Автор: Дорофеев, Миракова

Изд.: Просвещение

Год: 2014

<< Предыдущее Вернуться к списку Следующее >>
учебник: часть 1, часть 2, 4 класс, Дорофеев, Миракова, 2014, стр. 72.  Деление числа на произведение Задача: 2