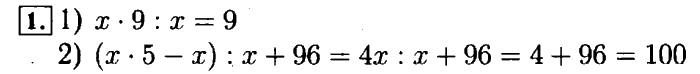
Главная / Готовые домашние задания (ГДЗ) / 4 класс / Математика / Моро / Странички для любознательных Задание: 1


Ответ на Странички для любознательных Задание: 1
Готовые домашние задания (ГДЗ) Математика Моро 4 класс

учебник: часть 1, часть 2, Моро, 2011-2013

Математика

4 класс

учебник: часть 1, часть 2

Автор: Моро

Изд.: Вентана-граф

Год: 2011-2013

<< Предыдущее Вернуться к списку Следующее >>
учебник: часть 1, часть 2, 4 класс, Моро, 2011-2013, Странички для любознательных Задание: 1