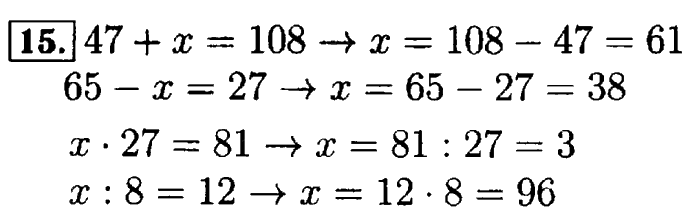
Главная / Готовые домашние задания (ГДЗ) / 4 класс / Математика / Моро / Что узнали. Чему научились Задание: 15
Ответ на Что узнали. Чему научились Задание: 15
Готовые домашние задания (ГДЗ) Математика Моро 4 класс
Математика
4 класс
учебник: часть 1, часть 2
Автор: Моро
Изд.: Вентана-граф
Год: 2011-2013
| << Предыдущее Вернуться к списку Следующее >> |