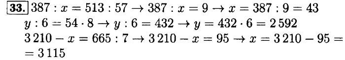
Главная / Готовые домашние задания (ГДЗ) / 4 класс / Математика / Моро / Что мы узнали. Чему научились Задание: 33


Ответ на Что мы узнали. Чему научились Задание: 33
Готовые домашние задания (ГДЗ) Математика Моро 4 класс

учебник: часть 1, часть 2, Моро, 2011-2013

Математика

4 класс

учебник: часть 1, часть 2

Автор: Моро

Изд.: Вентана-граф

Год: 2011-2013

<< Предыдущее Вернуться к списку Следующее >>
учебник: часть 1, часть 2, 4 класс, Моро, 2011-2013, Что мы узнали. Чему научились Задание: 33