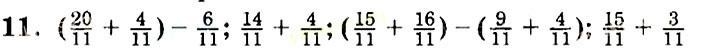
Главная / Готовые домашние задания (ГДЗ) / 4 класс / Математика / Петерсон / Урок 8. Смешанные числа Задача: 11


Ответ на Урок 8. Смешанные числа Задача: 11
Готовые домашние задания (ГДЗ) Математика Петерсон 4 класс

учебник: часть 1, часть 2, часть 3, Петерсон, 2013

Математика

4 класс

учебник: часть 1, часть 2, часть 3

Автор: Петерсон

Изд.: ФГОС

Год: 2013

<< Предыдущее Вернуться к списку Следующее >>
учебник: часть 1, часть 2, часть 3, 4 класс, Петерсон, 2013, Урок 8. Смешанные числа Задача: 11