Главная / Готовые домашние задания (ГДЗ) / 4 класс / Математика / В.Н. Рудницкая / задание: 156


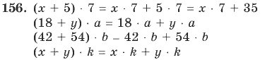
Ответ на задание: 156
Готовые домашние задания (ГДЗ) Математика В.Н. Рудницкая 4 класс

Математика, В.Н. Рудницкая, 2012

Математика

4 класс

Автор: В.Н. Рудницкая

Изд.: Вентана-Граф

Год: 2012

<< Предыдущее Вернуться к списку Следующее >>
Математика, 4 класс, В.Н. Рудницкая, 2012, задание: 156