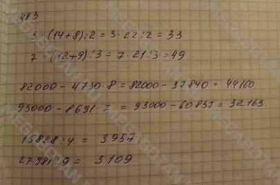
Главная / Готовые домашние задания (ГДЗ) / 4 класс / Математика / Моро М. И / задание: 483


Ответ на задание: 483
Готовые домашние задания (ГДЗ) Математика Моро М. И 4 класс

1, 2 часть, Моро М. И, 2010

Математика

4 класс

1, 2 часть

Автор: Моро М. И

Изд.: Просвещение

Год: 2010

<< Предыдущее Вернуться к списку 
1, 2 часть, 4 класс, Моро М. И, 2010, задание: 483