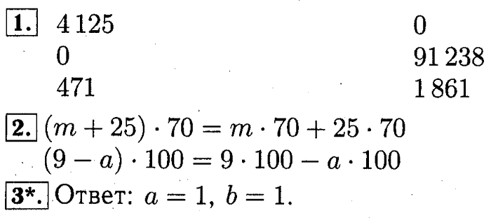
Главная / Готовые домашние задания (ГДЗ) / 4 класс / Математика / Рудницкая, Юдачева / Работа 1. Свойства арифметических действий Задача: Вариант №2


Ответ на Работа 1. Свойства арифметических действий Задача: Вариант №2
Готовые домашние задания (ГДЗ) Математика Рудницкая, Юдачева 4 класс

учебник: часть 1, часть 2 и Контрольные работы, Рудницкая, Юдачева, 2015

Математика

4 класс

учебник: часть 1, часть 2 и Контрольные работы

Автор: Рудницкая, Юдачева

Изд.: Вентана-Граф

Год: 2015

<< Предыдущее Вернуться к списку Следующее >>
учебник: часть 1, часть 2 и Контрольные работы, 4 класс, Рудницкая, Юдачева, 2015, Работа 1. Свойства арифметических действий Задача: Вариант №2